From Raw Data to Real Insight
Performance testing shouldn't feel like a data science project. Forget digging through raw files, juggling spreadsheets, or piecing together makeshift charts. Assess.Works is built for professionals–coaches, physiologists, and sports physicians–who need precise, actionable insights without the hassle. Now powered by generative AI, it helps you interpret data faster, uncover patterns, and make smarter decisions with confidence.






STOP HACKING FIT OR CSV FILES
Built for Performance Assessments
Most platforms are built for general tracking—not in-depth performance evaluation. Assess.Works is purpose-built for lab-grade athlete assessments, helping you streamline analysis and uncover critical performance trends with ease. Designed for experts, it empowers you to identify limiters, define training zones using advanced physiological metrics, and gain deeper insights—all powered by generative AI APIs to accelerate your decision-making.




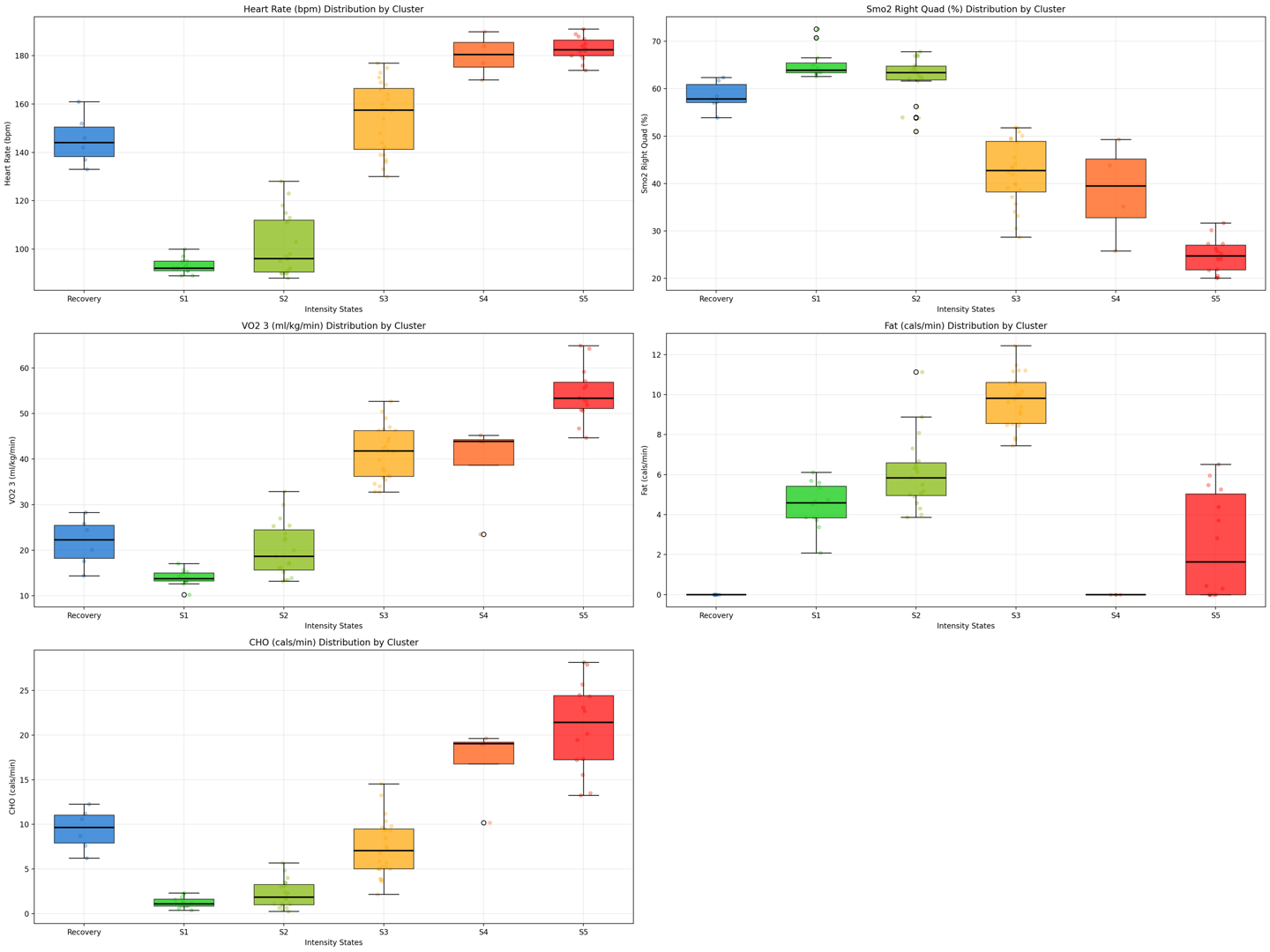
Continuous Zone Detection


Traditional zone models oversimplify how the body responds to effort. Our system analyzes multiple biomarkers–including VO2, heart rate, muscle oxygenation, respiratory frequency, and fat and carbohydrate usage–together to assign personalized intensity states. Using unsupervised machine learning, it groups physiologically similar moments into unified, data-driven, zones where all signals agree. No more hard jumps between training zones–just smooth transitions that reflect how the body actually works. Smart thresholds, better pacing, real insight.




Unify Your Data. Instantly.
Merging data from multiple devices has been one of the biggest pain points for coaches and lab professionals—until now. Assess.Works includes a built-in file merge feature that automatically combines data from different devices, even if they use different formats, sampling rates, or start times. Whether you're recording VO2 from a metabolic cart and SmO2 from a NIRS sensor, our system aligns them into one continuous, synchronized dataset that’s ready for analysis. No more manual syncing. No more comparing charts in isolation. Just clean, merged data that tells the full story.




Curious how this could fit into your workflow?
Let us show you what’s possible. Request early access and get hands-on with smarter physiological diagnostics.
© 2025. All rights reserved.
Resources
Blog
Support
Company
Performance efficiency
Efficiency Metrics
Onboarding Call Booking

